प्रश्नोत्तर सिंक्रोनस बेल्ट्स और बेल्ट स्प्रॉकेट्स

हमने अपने ग्राहकों द्वारा भेजे गए "अक्सर पूछे जाने वाले प्रश्न" को प्रश्नोत्तर प्रारूप में पोस्ट किया है। कृपया उत्तर पाने के लिए प्रश्न पर क्लिक करें।

सिंक्रोनस बेल्ट्स

प्रश्नोत्तर में शब्दका

Q1 सिंक्रोनस बेल्ट्स को स्थापित करते समय उस पर तनाव क्यों लगाया जाता है?
Q2 स्थापना तनाव कैसे लागू करें?
Q3 मैं स्थापना तनाव जांच कैसे करूं?
Q4 स्थापना तनाव कहां मापा जाना चाहिए?
Q5 न्यूनतम स्थापना तनाव क्या है?
Q6 क्या बेल्ट स्प्रॉकेट्स संरेखण आवश्यक है?
Q7 सिंक्रोनस बेल्ट्स खिंचाव क्या है?
Q8 सिंक्रोनस बेल्ट्स जीवन काल कब समाप्त होता है?
Q9 क्या आप सिंक्रोनस बेल्ट्स के टूटने से पहले उसके जीवन के अंत का पता लगा सकते हैं?
Q10 सिंक्रोनस बेल्ट्स कितने समय तक चलती है?
Q11 छः या अधिक जालीदार दांतों की आवश्यकता क्यों होती है?
Q12 किलोवाट रेटिंग तालिका में रंगीन भागों का क्या अर्थ है?
Q13 सर्वो मोटर का उपयोग करते समय मुझे क्या सावधानी बरतनी चाहिए?
Q14 क्या कैटलॉग में सूचीबद्ध मानक चौड़ाई के अलावा अन्य चौड़ाई का निर्माण संभव है?
Q15 न्यूनतम कितनी चौड़ाई का उत्पादन किया जा सकता है?
Q16 क्या ऐसी बेल्ट लम्बाई का निर्माण करना संभव है जो कैटलॉग में सूचीबद्ध नहीं है?
Q17 क्या "अल्ट्रा पीएक्स बेल्ट" सभी प्रकार के तेलों के खिलाफ प्रभावी है?
Q18 क्या इसका उपयोग तैलीय या गीले वातावरण में किया जा सकता है?
Q19 वह परिवेशी तापमान क्या है जिस पर सिंक्रोनस बेल्ट्स उपयोग किया जा सकता है?
Q20 क्या यह अन्य कंपनियों के उत्पादों के साथ संगत है?
Q21 उपयोग से पहले मुझे क्या सावधानी बरतनी चाहिए?
Q22 बेल्ट स्प्रॉकेट्स पर सिंक्रोनस बेल्ट्स स्थापित करते समय मुझे क्या ध्यान देना चाहिए?
Q23 सिंक्रोनस बेल्ट्स उपयोग करते समय मुझे क्या सावधानी बरतनी चाहिए?
Q24 सिंक्रोनस बेल्ट्स स्टोर करते समय मुझे क्या सावधानियां बरतनी चाहिए?
Q25 किस प्रकार का शोर?
Q26 शोर कम करने के लिए क्या किया जा सकता है?
Q27 क्या यह RoHS निर्देश का अनुपालन करता है?
Q28 सिंक्रोनस बेल्ट्स की ट्रांसमिशन दक्षता क्या है?
Q29 समय से पहले सिंक्रोनस बेल्ट्स टूटना
Q30 घिसे हुए सिंक्रोनस बेल्ट्स दांत
Q31 सिंक्रोनस बेल्ट्स दांत छूट गए
Q32 सिंक्रोनस बेल्ट्स टूथ शीयर विफलता
Q33 सिंक्रोनस बेल्ट्स साइड का घिसाव और टूट-फूट
Q34 सिंक्रोनस बेल्ट्स दांत की सतह पर ऊर्ध्वाधर खरोंच
Q35 सिंक्रोनस बेल्ट्स आंशिक रूप से कटी हुई
Q36 सिंक्रोनस बेल्ट्स सूजन
Q37 सिंक्रोनस बेल्ट्स का स्पष्ट खिंचाव
Q38 सिंक्रोनस बेल्ट्स के पीछे रबर का चिपचिपा या नरम होना
Q39 सिंक्रोनस बेल्ट्स के पीछे के रबर का घिसाव
Q40 सिंक्रोनस बेल्ट्स के पीछे रबर में दरारें
Q41 बेल्ट स्प्रॉकेट्स दांतों का घिसाव

तनावमापी

Q42 मापनीय सीमा क्या है?
Q43 मैं खरीदने से पहले इसे आज़माना चाहूँगा, लेकिन क्या आप इसे किराये पर भी दे सकते हैं?
Q44 क्या आप इसका प्रूफ़रीड कर सकते हैं?
Q45 उपयुक्त अंशांकन अवधि क्या है?

बेल्ट क्लैंप

Q46 यह किस सामग्री से बना है?
Q47 क्या आप कैटलॉग में सूचीबद्ध उत्पादों के अलावा अन्य कस्टम-निर्मित उत्पाद भी बना सकते हैं?
उत्तर के लिए
Q1 सिंक्रोनस बेल्ट्स को स्थापित करते समय उस पर तनाव क्यों लगाया जाता है?
A1

सिंक्रोनस बेल्ट्स ट्रांसमिशन में, पिच केंद्र रेखा जहां बल कार्य करता है, बेल्ट स्प्रॉकेट्स दांतों के बाहर होती है, इसलिए उपयुक्त तनाव लागू करके शक्ति संचरण संभव है।

सामान्य विद्युत संचरण अनुप्रयोगों के लिए, यह अनुशंसा की जाती है कि आप कैटलॉग में सूचीबद्ध अनुशंसित मान के आधार पर स्थापना तनाव निर्धारित करें।

इसके अलावा, यदि स्थिति सटीकता आपके अनुप्रयोग के लिए महत्वपूर्ण है, तो मान को अधिक निर्धारित करें, लेकिन कैटलॉग में सूचीबद्ध अधिकतम मान से अधिक नहीं।

यदि आप लोड की स्थिति या उपकरण की स्थिति के कारण स्थापना तनाव अनुशंसित मान से कम पर सेट करते हैं, तो कृपया जांच लें कि इससे कंपन या शोर में वृद्धि नहीं होती है, या ट्रांसमिशन में समस्या उत्पन्न नहीं होती है, जैसे कि दांतों का छूटना।

यदि स्थापना तनाव बहुत अधिक या बहुत कम है, तो यह सिंक्रोनस बेल्ट्स की समयपूर्व विफलता का कारण बन सकता है।

प्रश्नों पर वापस जाएँ
Q2 स्थापना तनाव कैसे लागू करें?
A2

किसी एक अक्ष को हिलाकर समायोजन करना बेहतर होता है, लेकिन समायोजन के लिए एक आइडलर प्रदान करना भी संभव है।

सामान्य नियम के अनुसार, आइडलर को सिंक्रोनस बेल्ट्स के ढीले हिस्से पर स्थापित किया जाना चाहिए ताकि समायोजन के बाद इसे ठीक किया जा सके।

प्रश्नों पर वापस जाएँ
Q3 मैं स्थापना तनाव जांच कैसे करूं?
A3
  1. ①त्सुबाकी बेल्ट टेंशन मीटर T-ACE का उपयोग करना

    आप त्सुबाकी बेल्ट टेंशन मीटर टी-एसीई का उपयोग करके आसानी से और सटीक रूप से तनाव की जांच कर सकते हैं, यह एक अल्ट्रासोनिक बेल्ट टेंशन मीटर है जो बेल्ट की प्राकृतिक आवृत्ति को मापता है।

  2. ②आप सिंक्रोनस बेल्ट्स दबाकर और होने वाले विक्षेपण की मात्रा को देखकर जांच कर सकते हैं।
    1. आइडलर शाफ्ट सहित सभी शाफ्टों की समांतरता और पुली के संरेखण को सटीक रूप से निर्धारित करता है।
    2. सिंक्रोनस बेल्ट्स के केंद्र पर दबाने वाला बल (F) लगाया जाता है।
    3. तनाव इस प्रकार लागू करें कि सिंक्रोनस बेल्ट्स विक्षेपण (δ) प्रति 100 मिमी स्पान पर 1.6 मिमी हो।
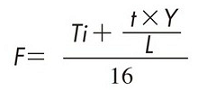
स्थापना तनाव
[बड़ा करने के लिए क्लिक करें]
  • स्थापना तनाव
    स्थापना तनाव
    F: फैलाव t के केंद्र पर विक्षेपण (δ) के लिए आवश्यक दबाने वाला बल N{kgf}
  • Ti: स्थापना तनाव N{kgf}
  • Y: सुधार गुणांक
  • δ: विक्षेपण mm=0.016t
  • t: स्पान लंबाई मिमी
  • C: केंद्र दूरी मिमी
  • डीपी: बड़ा पुली पिच सर्कल व्यास मिमी
  • डीपी: छोटा पुली पिच सर्कल व्यास मिमी
  • L: बेल्ट की लंबाई मिमी
प्रश्नों पर वापस जाएँ
Q4 स्थापना तनाव कहां मापा जाना चाहिए?
A4

दो अक्षों (दो बेल्ट स्प्रॉकेट्स) के लिए, स्पान के केंद्र पर मापें।

एकाधिक अक्षों (तीन या अधिक बेल्ट स्प्रॉकेट्स /आइडलर) के मामले में, सबसे लंबे फैलाव वाले बिंदु पर माप लें। इससे माप अधिक स्थिर हो जाएगा।

प्रश्नों पर वापस जाएँ
Q5 न्यूनतम स्थापना तनाव क्या है?
A5

स्थापना तनाव उस स्तर तक कम करना संभव है जहाँ टूथ स्किपिंग की घटना न हो। टूथ स्किपिंग की घटना ऑपरेटिंग परिस्थितियों के आधार पर भिन्न होती है, इसलिए कृपया वास्तविक मशीन से जाँच करें।

प्रश्नों पर वापस जाएँ
Q6 क्या बेल्ट स्प्रॉकेट्स संरेखण आवश्यक है?
A6

यहां तक कि यदि सिंक्रोनस बेल्ट्स बेल्ट स्प्रॉकेट्स सही ढंग से संरेखित किया गया हो, तो भी टाइमिंग बेल्ट बेल्ट स्प्रॉकेट्स के केंद्र में नहीं चलती है, बल्कि एक तरफ झुक जाती है।

यद्यपि यह बल बहुत कमजोर होता है, लेकिन यदि बेल्ट स्प्रॉकेट्स सही ढंग से संरेखित नहीं किया गया है, तो यह बेल्ट स्प्रॉकेट्स के किनारे के करीब आ सकता है और गाइड फ्लैंज के विरुद्ध जोर से दब सकता है, जिससे संभावित रूप से उसे क्षति पहुंच सकती है या वह कट सकता है।

इसके अलावा, गाइड फ्लैंज भी गिर सकता है।

बेल्ट स्प्रॉकेट्स संरेखण को नीचे दी गई तालिका में दी गई सहनशीलता के भीतर समायोजित करें।

बेल्ट का आकार सभी प्रकार
बेल्ट की चौड़ाई मिमी 30 या उससे कम 30~50 50~100 100 से अधिक
स्वीकार्य समानता 5/1000 या उससे कम 4/1000 या उससे कम 3/1000 या उससे कम 2/1000 या उससे कम
θ मिनट 17 या उससे कम 13 या उससे कम 10 या उससे कम 6 या उससे कम

पुली समायोजन विधि
[बड़ा करने के लिए क्लिक करें]

■ पुली समायोजन विधि

जैसा कि चित्र में दिखाया गया है, एक सीधा किनारा संदर्भ घिरनी पर रखा जाता है, और अन्य घिरनियों को सीधे किनारे की पूरी सतह (ε = 0) के संपर्क में लाया जाता है, जिससे घिरनियों को सही स्थिति में पंक्तिबद्ध किया जा सकता है।

इसके अलावा, चित्र में δ को सीमा से नीचे रखकर, अक्ष की समांतरता को एक साथ प्राप्त करना संभव है।

पुली समायोजन विधि
[बड़ा करने के लिए क्लिक करें]

प्रश्नों पर वापस जाएँ
Q7 सिंक्रोनस बेल्ट्स खिंचाव क्या है?
A7

सिंक्रोनस बेल्ट्स में दो प्रकार के खिंचाव हो सकते हैं।

  1. ① लोचदार बढ़ाव (भार बढ़ाव)

    यह एक प्रतिवर्ती खिंचाव है जो तब होता है जब सिंक्रोनस बेल्ट्स पर भार डाला जाता है। भार हटाने पर यह अपने मूल आकार में वापस आ जाता है।

  2. ② स्थायी बढ़ाव (ऑपरेटिंग बढ़ाव)

    यह वह खिंचाव है जो सिंक्रोनस बेल्ट्स पर से भार हटा लेने के बाद भी अपनी मूल स्थिति में नहीं लौटता। यह मुख्यतः शुरुआती टूट-फूट और घिसाव के कारण होता है।

प्रश्नों पर वापस जाएँ
Q8 सिंक्रोनस बेल्ट्स जीवन काल कब समाप्त होता है?
A8

अनुचित तरीके से चयनित सिंक्रोनस बेल्ट्स में, दांत का कपड़ा घिस जाता है और अंततः बेल्ट के दांत गिर जाते हैं।

इसके अतिरिक्त, यदि बेल्ट स्प्रॉकेट्स का व्यास छोटा है या बहु-अक्षीय लेआउट में कई मोड़ हैं, तो झुकने के कारण कोर तार थक सकता है और टूट सकता है।

जैसा कि ऊपर दिखाया गया है, सिंक्रोनस बेल्ट्स अपने जीवन के अंत पर पहुंच जाती है, जब वह बेल्ट स्प्रॉकेट्स के साथ सटीक रूप से जुड़ने और शक्ति संचारित करने की अपनी क्षमता खो देती है।

सिंक्रोनस बेल्ट्स नियमित रूप से निरीक्षण करें, और यदि कोई असामान्यताएं जैसे बाहरी भाग पर खरोंच या टूथ क्लॉथ पर घिसाव पाया जाए, तो बेल्ट के दांत गायब होने या सिंक्रोनस बेल्ट्स टूटने से पहले उसे बदल दें।

प्रश्नों पर वापस जाएँ
Q9 क्या आप सिंक्रोनस बेल्ट्स के टूटने से पहले उसके जीवन के अंत का पता लगा सकते हैं?
A9

जीवन का अंत कंपन या शोर के रूप में प्रकट हो सकता है, लेकिन ये सूक्ष्म हो सकते हैं और इन्हें पहले से पता लगाना कठिन हो सकता है।

सिंक्रोनस बेल्ट्स नियमित रूप से निरीक्षण करें और यदि आपको टूथ क्लॉथ पर कोई खरोंच या अन्य असामान्यता या घिसाव दिखाई दे तो बेल्ट के दांत गायब या टूट जाने से पहले उसे बदल दें।

त्सुबाकी अल्ट्रा पीएक्स बेल्ट के साथ, उजागर रबर द्वारा टूथ क्लॉथ पर घिसाव की आसानी से पुष्टि की जा सकती है, जिससे यह निर्धारित करना आसान हो जाता है कि इसे कब बदलने की आवश्यकता है।

उपयोग से पहले

उपयोग से पहले

उपयोग के बाद

उपयोग के बाद
प्रश्नों पर वापस जाएँ
Q10 सिंक्रोनस बेल्ट्स कितने समय तक चलती है?
A10

सिंक्रोनस बेल्ट्स धातु से नहीं बने होते, इसलिए इनकी कोई थकान सीमा नहीं होती। इस्तेमाल के दौरान, इनमें थकान और घिसाव होता है, जिससे अंततः ये टूट जाते हैं।

इसके अलावा, चूंकि स्थायित्व अवधि उपयोग की स्थितियों और लेआउट के आधार पर बहुत भिन्न होती है, इसलिए यह निर्धारित करना बहुत कठिन है कि जीवनकाल कब तक पूरा हो जाएगा।

हम सामग्री की उम्र को ध्यान में रखते हुए, अधिकतम हर 5 साल में फिल्टर को बदलने की सलाह देते हैं।

प्रश्नों पर वापस जाएँ
Q11 छः या अधिक जालीदार दांतों की आवश्यकता क्यों होती है?
A11

धातु की जंजीरों या गियर के विपरीत, सिंक्रोनस बेल्ट्स दांत रबर से बने होते हैं और नायलॉन के कपड़े से ढके होते हैं, इसलिए वे केवल एक दांत से शक्ति संचारित करने के लिए उपयुक्त नहीं होते; भार सहन करने के लिए कई दांतों की आवश्यकता होती है। यदि बेल्ट स्प्रॉकेट्स के साथ छह से कम दांत जुड़े हुए हैं, तो प्रति दांत भार अधिक होगा और दांत टूट सकते हैं।

यदि मेशिंग दांतों की संख्या 5 या 4 है, तो कृपया चयन करते समय कैटलॉग में सूचीबद्ध "मेशिंग सुधार गुणांक" को जोड़ें।

ड्राइव पुली के लिए, कृपया 120 डिग्री या उससे अधिक के मेशिंग कोण के साथ कम से कम छह मेशिंग दांतों का उपयोग करने पर विचार करें।

प्रश्नों पर वापस जाएँ
Q12 कैटलॉग में किलोवाट रेटिंग तालिका में रंगीन भागों का क्या अर्थ है?
A12

इस संयोजन के लिए छोटे व्यास वाली पुली को उच्च गति पर घूमने की आवश्यकता होती है, जो सिंक्रोनस बेल्ट्स के अंदर कोर तार की झुकने वाली थकान को तेज करती है और इसके जीवनकाल को छोटा करती है, इसलिए कृपया इसका उपयोग करने से बचें।

प्रश्नों पर वापस जाएँ
Q13 सर्वो मोटर का उपयोग करते समय मुझे क्या सावधानी बरतनी चाहिए?
A13

यदि सिंक्रोनस बेल्ट्स परिधिगत गति अधिक है, तो निम्नलिखित हो सकता है:

  1. 1 सिंक्रोनस बेल्ट्स में उत्पन्न केन्द्रापसारक तनाव बिजली संचरण क्षमता को कम कर सकता है।
  2. 2. जीवनकाल छोटा हो सकता है।
  3. 3) यदि बेल्ट स्प्रॉकेट्स गति 33 मीटर/सेकंड से अधिक हो जाती है, तो रनआउट और कंपन हो सकता है, इसलिए संतुलन बनाए रखना सुनिश्चित करें।

सिंक्रोनस बेल्ट्स चयन करते समय, हम अनुशंसा करते हैं कि आप सर्वो मोटर की विशेषताओं के आधार पर टॉर्क पर विचार करें।

प्रश्नों पर वापस जाएँ
Q14 क्या कैटलॉग में सूचीबद्ध मानक चौड़ाई के अलावा अन्य चौड़ाई का निर्माण संभव है?
A14

हम एक निश्चित चौड़ाई के बेल्ट का निर्माण कर सकते हैं, इसलिए कृपया हमारी ग्राहक सेवा या खुदरा विक्रेता से संपर्क करें।

प्रश्नों पर वापस जाएँ
Q15 न्यूनतम कितनी चौड़ाई का उत्पादन किया जा सकता है?
A15

दिशानिर्देश सिंक्रोनस बेल्ट्स की कुल ऊंचाई का 1.5 गुना है, लेकिन यह मॉडल के आधार पर भिन्न होता है, इसलिए कृपया हमारे ग्राहक सेवा केंद्र या डीलर से संपर्क करें।

प्रश्नों पर वापस जाएँ
Q16 क्या ऐसी बेल्ट लम्बाई का निर्माण करना संभव है जो कैटलॉग में सूचीबद्ध नहीं है?
A16

चूंकि अंतहीन सिंक्रोनस बेल्ट्स निर्माण सांचों का उपयोग करके किया जाता है, इसलिए हम बेल्ट की ऐसी लंबाई का निर्माण नहीं कर सकते जो कैटलॉग में सूचीबद्ध नहीं है।

प्रश्नों पर वापस जाएँ
Q17 क्या "अल्ट्रा पीएक्स बेल्ट" सभी प्रकार के तेलों के खिलाफ प्रभावी है?
A17

"अल्ट्रा पीएक्स बेल्ट" की तेल प्रतिरोधकता हमारी कंपनी द्वारा सामान्य चिकनाई वाले तेलों और कटिंग तेलों का उपयोग करके किए गए विभिन्न परीक्षणों के परिणामों पर आधारित है, इसलिए हम सभी प्रकार के तेलों या उपयोग की स्थितियों के प्रति प्रतिरोधकता की गारंटी नहीं देते हैं।

कृपया वास्तविक उपकरण की जांच करें या हमसे संपर्क करें कि क्या यह किसी विशेष तेल प्रकार या परिचालन स्थितियों के लिए उपयुक्त है।

प्रश्नों पर वापस जाएँ
Q18 क्या इसका उपयोग तैलीय या गीले वातावरण में किया जा सकता है?
A18

आम तौर पर, अगर सिंक्रोनस बेल्ट्स पर तेल या पानी लग जाए, तो वह फूल जाएगी और बेल्ट स्प्रॉकेट्स के साथ मेल नहीं खा पाएगी, जिससे ट्रांसमिशन क्षमता कम हो जाएगी और जल्दी नुकसान होगा। ख़ास तौर पर, टाइमिंग बेल्ट का इस्तेमाल तेल या पानी में नहीं किया जा सकता।

हम "अल्ट्रा पीएक्स बेल्ट ऑयल-रेसिस्टेंट स्पेसिफिकेशन" और "पीएक्स बेल्ट वाटर-रेसिस्टेंट स्पेसिफिकेशन" की एक श्रृंखला पेश करते हैं, जो तेल या पानी की धुंध वाले वातावरण में बेहतर टिकाऊपन प्रदान करती हैं।

प्रश्नों पर वापस जाएँ
Q19 वह परिवेशी तापमान क्या है जिस पर सिंक्रोनस बेल्ट्स उपयोग किया जा सकता है?
A19

कृपया -15°C से 80°C के सामान्य तापमान में उपयोग करें। कुछ सिंक्रोनस बेल्ट्स कुछ परिस्थितियों में 90°C तक भी इस्तेमाल किए जा सकते हैं।

अधिक जानकारी के लिए कृपया हमारी ग्राहक सेवा से संपर्क करें।

प्रश्नों पर वापस जाएँ
Q20 क्या यह अन्य कंपनियों के उत्पादों के साथ संगत है?
A20

"पीएक्स टूथ प्रोफाइल" हमारी अपनी अनूठी टूथ प्रोफाइल है और यह अन्य कंपनियों के टूथ प्रोफाइल के साथ संगत नहीं है, इसलिए कृपया इसे त्सुबाकी बेल्ट स्प्रॉकेट्स के साथ संयोजन में उपयोग करें।

प्रश्नों पर वापस जाएँ
Q21 उपयोग से पहले मुझे क्या सावधानी बरतनी चाहिए?
A21

ध्यान देने योग्य महत्वपूर्ण बिंदु "सिंक्रोनस बेल्ट्स ट्रांसमिशन" कैटलॉग में सूचीबद्ध हैं। कृपया उपयोग से पहले "निर्देश पुस्तिका" पृष्ठ अवश्य पढ़ें।

प्रश्नों पर वापस जाएँ
Q22 बेल्ट स्प्रॉकेट्स पर सिंक्रोनस बेल्ट्स स्थापित करते समय मुझे क्या ध्यान देना चाहिए?
A22

बल लगाने पर भी सिंक्रोनस बेल्ट्स खिंचती नहीं है।

बेल्ट स्प्रॉकेट्स पर स्थापित करते समय, स्थापित करने से पहले पुली शाफ्ट और आइडलर शाफ्ट को हिलाएं।

बेल्ट स्प्रॉकेट्स गाइड फ्लैंज पर जबरदस्ती रखने से दुर्घटना हो सकती है, इसलिए कृपया ऐसा करने से बचें।

दो-शाफ्ट ट्रांसमिशन में, जिसमें आइडलर्स का उपयोग नहीं किया जाता है, शाफ्टों के बीच की दूरी के लिए कुछ समायोजन स्थान प्रदान किया जाता है।

■ दो शाफ्टों के बीच की दूरी समायोजित करें

इकाई: मिमी
बेल्ट की लंबाई प्रकार
P2M・P3M・P5M
UP3M・UP5M
P8M・P14M
UP8M・UP14M
△Co 500 से कम 3 3
500~1000 5 5
1001~2000 10 10
2000 से अधिक 15 15
△Ci सामान्य 10 15
दो शाफ्टों के बीच की दूरी समायोजित करें
[बड़ा करने के लिए क्लिक करें]
प्रश्नों पर वापस जाएँ
Q23 सिंक्रोनस बेल्ट्स उपयोग करते समय मुझे क्या सावधानी बरतनी चाहिए?
A23

स्वच्छ वातावरण में उपयोग करें।

यदि सिंक्रोनस बेल्ट्स। यदि हवा में नमी या तेल की मात्रा अधिक हो, तो "अल्ट्रा पीएक्स बेल्ट ऑयल-रेज़िस्टेंट स्पेसिफिकेशन" और नमी की मात्रा अधिक हो, तो "पीएक्स बेल्ट वॉटर-रेज़िस्टेंट स्पेसिफिकेशन" का उपयोग करने पर विचार करें।

प्रश्नों पर वापस जाएँ
Q24 सिंक्रोनस बेल्ट्स स्टोर करते समय मुझे क्या सावधानियां बरतनी चाहिए?
A24
  1. 1. सूखे कमरे में -10°C से 40°C के बीच के तापमान पर रखें। सीधी धूप से बचें।
  2. 2 सिंक्रोनस बेल्ट्स छोटे व्यास तक न मोड़ें। उन्हें छोटे व्यास तक मोड़ने से आंतरिक कोर तार टूट जाएँगे, जिससे प्रदर्शन पर काफ़ी असर पड़ेगा। अधिकतम मोड़ने वाला व्यास पिच का चार गुना होता है।
झुकने की सीमा का व्यास पिच का चार गुना है।
प्रश्नों पर वापस जाएँ
Q25 किस प्रकार का शोर?
A25

सामान्यतः यह इस प्रकार है:

  1. 1 जब सिंक्रोनस बेल्ट्स के दांत की जड़ का निचला हिस्सा बेल्ट स्प्रॉकेट्स दांतों के ऊपरी हिस्से से टकराता है तो प्रभाव शोर उत्पन्न होता है।
  2. 2 सिंक्रोनस बेल्ट्स स्ट्रिंग कंपन शोर
  3. 3) सिंक्रोनस बेल्ट्स दांतों के बेल्ट स्प्रॉकेट्स दांतों से रगड़ने और जाल बनने के कारण उत्पन्न घर्षण शोर।
  4. 4) घर्षण शोर तब उत्पन्न होता है जब सिंक्रोनस बेल्ट्स का किनारा बेल्ट स्प्रॉकेट्स के गाइड फ्लैंज के विरुद्ध रगड़ता है
  5. ⑤ जब सिंक्रोनस बेल्ट्स और बेल्ट स्प्रॉकेट्स लगे होते हैं, तो बेल्ट स्प्रॉकेट्स टूथ ग्रूव से हवा निकलने पर एयर डिस्चार्ज शोर होता है।
प्रश्नों पर वापस जाएँ
Q26 शोर कम करने के लिए क्या किया जा सकता है?
A26
  1. (1) सिंक्रोनस बेल्ट्स की प्राकृतिक आवृत्ति को स्थापना तनाव, पुली रोटेशन गति, बेल्ट की लंबाई, बेल्ट की चौड़ाई, पुली दांतों की संख्या आदि को बदलकर बदला जाता है।
  2. 2 उच्च शक्ति वाली सिंक्रोनस बेल्ट्स में बदलें और बेल्ट की चौड़ाई को कम करें।
  3. ③ बेल्ट की चौड़ाई को कम करें और बहु-तार लटकाने में बदलें।
  4. ④ सिंक्रोनस बेल्ट्स गाइड फ्लैंज से संपर्क करने से रोकने के लिए बेल्ट स्प्रॉकेट्स के संरेखण को समायोजित करें।
प्रश्नों पर वापस जाएँ
Q27 क्या यह RoHS निर्देश का अनुपालन करता है?
A27

RoHS निर्देश के अनुरूप।

प्रश्नों पर वापस जाएँ
Q28 सिंक्रोनस बेल्ट्स की ट्रांसमिशन दक्षता क्या है?
A28

अधिकतम लगभग 98% है।

प्रश्नों पर वापस जाएँ
Q29 समय से पहले सिंक्रोनस बेल्ट्स टूटना
A29
उपस्थिति विशेषताएँ

[बाहरी विशेषताएँ]

बेल्ट को दांतों के समानांतर काटा जाता है, और कोर तारों को भी छोटा और समतल काटा जाता है।

[संभावित कारण]

  1. 1 भंडारण या संयोजन के दौरान अत्यधिक झुकने के कारण कोर तार टूट गया था।
  2. 2. पुली का व्यास बहुत छोटा था, जिसके कारण कोर तार टूट गया।

[प्रतिउपाय]

  1. 1. भंडारण या संयोजन करते समय अत्यधिक झुकाव से बचने के लिए सावधानी बरतें। पिच के चार गुना से कम व्यास तक न मोड़ें।
  2. 2. जाँच करें कि बेल्ट स्प्रॉकेट्स और आइडलर का व्यास उचित है। यदि वे बहुत छोटे हैं, तो उन्हें उचित व्यास में बदलें। किलोवाट रेटिंग तालिका में बेल्ट स्प्रॉकेट्स व्यास और नीचे दी गई तालिका में आइडलर का व्यास जाँचें।
झुकने की सीमा का व्यास पिच का चार गुना है।
  • आंतरिक आइडलर: बेल्ट स्प्रॉकेट्स जिसमें नीचे दी गई तालिका में दर्शाए गए न्यूनतम दांतों की संख्या होती है।
  • बाहरी आइडलर: बिना क्राउन वाली एक सपाट घिरनी, जिसका व्यास नीचे दी गई तालिका में घिरनी के पिच सर्कल व्यास का कम से कम 1.2 गुना होता है।

■ आइडलर का चयन करते समय पुली दांतों की न्यूनतम संख्या

प्रकार घूर्णी गति r/min
900 से कम 900 से अधिक
1200 से कम
1200 से अधिक
1800 से कम
1800 से अधिक
3600 या उससे कम
P2M 16 16 18 20
P3M・UP3M 14 14 16 18
P5M・UP5M 18 20 24 28
P8M・UP8M 24 26 26 28
P14M・UP14M 28 28 28 34

नोट: 3600 r/min से अधिक गति के लिए, मानक ट्रांसमिशन क्षमता तालिका देखें।

आंतरिक आइडलर

आंतरिक आइडलर

बाहरी आइडलर

बाहरी आइडलर

प्रश्नों पर वापस जाएँ
Q30 घिसे हुए सिंक्रोनस बेल्ट्स दांत
A30
उपस्थिति विशेषताएँ उपस्थिति विशेषताएँ

[बाहरी विशेषताएँ]

  • दाँत का कपड़ा रूखा हो गया है, सफेद हो गया है, तथा बुनाई अस्पष्ट हो गई है।
  • दाँत का कपड़ा घिस गया है और रबर बाहर आ गया है।
  • बेल्ट के दांत पतले हो जाते हैं।
  • दांत की जड़ लगा टूथ क्लॉथ घिस गया है और कोर तार खुला हुआ है।

[संभावित कारण]

  1. 1. ओवरलोड होता है.
  2. ② अत्यधिक स्थापना तनाव.
  3. 3) अपर्याप्त स्थापना तनाव.
  4. ④अपर्याप्त सिंक्रोनस बेल्ट्स क्षमता.
  5. ⑤ बेल्ट स्प्रॉकेट्स का अनुचित टूथ प्रोफाइल या टूथ आयाम।
  6. ⑥धूल भरे वातावरण में उपयोग करें।

[प्रतिउपाय]

  1. (1) प्राइम मूवर की विशिष्टताओं, संचालित मशीन की जड़ता और उपयोग की शर्तों की जांच करें, और अधिभार के कारण को खत्म करें, या सिंक्रोनस बेल्ट्स और पुली के आकार को बढ़ाएं।
  2. स्थापना तनाव उचित स्तर पर समायोजित करें।
  3. 3) स्थापना तनाव उचित स्तर पर समायोजित करें।
  4. 4) परिचालन स्थितियों की जांच करें और इष्टतम आकार के सिंक्रोनस बेल्ट्स और पुली का चयन करें।
  5. 5) बेल्ट स्प्रॉकेट्स सही टूथ प्रोफाइल और आयाम वाले पुली से बदलें।
  6. ⑥ वातावरण में सुधार करके या कवर लगाकर सिंक्रोनस बेल्ट्स और पुली पर धूल जमने से रोकें।
प्रश्नों पर वापस जाएँ
Q31 सिंक्रोनस बेल्ट्स दांत छूट गए
A31

[संभावित कारण]

  1. 1) ओवरलोड (शॉक लोड) होता है।
  2. ② अपर्याप्त स्थापना तनाव.
  3. 3) बेल्ट स्प्रॉकेट्स के साथ मेशिंग दांतों की अपर्याप्त संख्या।
  4. 4) फ्रेम की अपर्याप्त कठोरता.

[प्रतिउपाय]

  1. 1) शॉक लोड के कारण को हटाएँ, या शॉक अवशोषण तंत्र स्थापित करें, या सिंक्रोनस बेल्ट्स का आकार बढ़ाएँ।
  2. स्थापना तनाव उचित स्तर पर समायोजित करें।
  3. 3) बेल्ट स्प्रॉकेट्स पर दांतों की संख्या बढ़ाएं, या मेशिंग दांतों की संख्या बढ़ाने के लिए एक आइडलर स्थापित करें।
  4. ④ स्टैंड की कठोरता बढ़ाएँ।
प्रश्नों पर वापस जाएँ
Q32 सिंक्रोनस बेल्ट्स टूथ शीयर विफलता
A32

[बाहरी विशेषताएँ]

  • बेल्ट के दांतों के आधार पर दरारें आ गई हैं।
  • बेल्ट के दांत गायब हैं।

[संभावित कारण]

संदिग्ध कारण "Q30 सिंक्रोनस बेल्ट्स टूथ वियर" और "Q31 सिंक्रोनस बेल्ट्स टूथ स्किपिंग" के समान ही हैं। इन स्थितियों के लगातार बने रहने से शियर फ्रैक्चर हो जाता है।

[प्रतिउपाय]

कृपया "Q30 सिंक्रोनस बेल्ट्स टूथ वियर" और "Q31 सिंक्रोनस बेल्ट्स टूथ स्किपिंग" के लिए प्रतिउपायों का संदर्भ लें क्योंकि वे समान हैं।

प्रश्नों पर वापस जाएँ
Q33 सिंक्रोनस बेल्ट्स साइड का घिसाव और टूट-फूट
A33
उपस्थिति विशेषताएँ

[बाहरी विशेषताएँ]

  • किनारों के कोने गोल हैं।
  • ऐसा प्रतीत होता है कि बगल का रबर फट गया है।
  • कोर तार घिसा हुआ और खुला हुआ है।

[संभावित कारण]

  1. ①शाफ्ट की खराब समानांतरता।
  2. ② बेल्ट स्प्रॉकेट्स गलत संरेखण।
  3. 3) फ्रेम की अपर्याप्त कठोरता.
  4. ④ बेल्ट स्प्रॉकेट्स गाइड फ्लैंज का विरूपण।

[प्रतिउपाय]

  1. ①शाफ्ट की समानांतरता को सही ढंग से समायोजित करें।
  2. 2 बेल्ट स्प्रॉकेट्स सही स्थिति में समायोजित करें।
    बेल्ट का आकार सभी प्रकार
    बेल्ट की चौड़ाई मिमी 30 या उससे कम 30~50 50~100 100 से अधिक
    स्वीकार्य समानता 5/1000 या उससे कम 4/1000 या उससे कम 3/1000 या उससे कम 2/1000 या उससे कम
    θ मिनट 17 या उससे कम 13 या उससे कम 10 या उससे कम 6 या उससे कम

    पुली समायोजन विधि
    [बड़ा करने के लिए क्लिक करें]

    ■ पुली समायोजन विधि

    जैसा कि चित्र में दिखाया गया है, एक सीधा किनारा संदर्भ घिरनी पर रखा जाता है, और अन्य घिरनियों को सीधे किनारे की पूरी सतह (ε = 0) के संपर्क में लाया जाता है, जिससे घिरनियों को सही स्थिति में पंक्तिबद्ध किया जा सकता है।

    इसके अलावा, चित्र में δ को सीमा से नीचे रखकर, अक्ष की समांतरता को एक साथ प्राप्त करना संभव है।

    पुली समायोजन विधि
    [बड़ा करने के लिए क्लिक करें]

  3. 3) स्टैंड की कठोरता बढ़ाएँ।
  4. ④नए से बदलें।
प्रश्नों पर वापस जाएँ
Q34 सिंक्रोनस बेल्ट्स दांत की सतह पर ऊर्ध्वाधर खरोंच
A34
उपस्थिति विशेषताएँ

[बाहरी विशेषताएँ]

  • बेल्ट के दांतों के लंबवत एक खरोंच है।

[संभावित कारण]

  1. 1) बेल्ट स्प्रॉकेट्स के किनारे पर चलना।
  2. 2 बेल्ट स्प्रॉकेट्स गाइड फ्लैंज पर चढ़ जाती है।

[प्रतिउपाय]

  1. 1 शाफ्ट समानांतरता या बेल्ट स्प्रॉकेट्स स्थिति गलत है, इसलिए इसे सही स्थिति में समायोजित करें।
  2. 2यदि शाफ्ट समांतरता या बेल्ट स्प्रॉकेट्स स्थिति गलत है, तो उसे सही स्थिति में समायोजित करें।

    स्थापना तनाव जांच करें, और यदि यह अपर्याप्त है, तो इसे उचित स्थापना तनाव में समायोजित करें।

प्रश्नों पर वापस जाएँ
Q35 सिंक्रोनस बेल्ट्स आंशिक रूप से कटी हुई
A35
उपस्थिति विशेषताएँ

[बाहरी विशेषताएँ]

  • यह आंशिक रूप से कटा हुआ है।
  • कटे हुए क्षेत्र के अलावा दांत की सतह पर भी खरोंचें पाई जा सकती हैं।

[संभावित कारण]

  1. 1) बेल्ट स्प्रॉकेट्स गाइड फ्लैंज पर चढ़ जाती है।
  2. 2विदेशी वस्तुएं पकड़ी जाती हैं।

[प्रतिउपाय]

  1. 1) यदि शाफ्ट समांतरता या बेल्ट स्प्रॉकेट्स स्थिति गलत है, तो उसे सही स्थिति में समायोजित करें।

    स्थापना तनाव जांच करें, और यदि यह अपर्याप्त है, तो इसे उचित स्थापना तनाव में समायोजित करें।

  2. सिंक्रोनस बेल्ट्स और पुली पर विदेशी पदार्थ के चिपकने से रोकने के लिए वातावरण में सुधार करें या कवर स्थापित करें।
प्रश्नों पर वापस जाएँ
Q36 सिंक्रोनस बेल्ट्स सूजन
A36
उपस्थिति विशेषताएँ

[बाहरी विशेषताएँ]

  • रबर उभरा हुआ है.

[संभावित कारण]

  • रबर ने सिंक्रोनस बेल्ट्स पर चिपके तेल और नमी को अवशोषित कर लिया।

[प्रतिउपाय]

  • तेल और नमी को सिंक्रोनस बेल्ट्स पर चिपकने से रोकने के लिए, वातावरण में सुधार करें या कवर लगाएं।
  • इसे "अल्ट्रा पीएक्स बेल्ट ऑयल रेसिस्टेंट स्पेसिफिकेशन" से बदलना संभव हो सकता है, इसलिए कृपया इस पर विचार करें।
प्रश्नों पर वापस जाएँ
Q37 सिंक्रोनस बेल्ट्स का स्पष्ट खिंचाव
A37

[संभावित कारण]

अक्षों की गति उन्हें एक दूसरे के करीब लाती है।

[प्रतिउपाय]

शाफ्ट को मजबूती से सुरक्षित करें।

प्रश्नों पर वापस जाएँ
Q38 सिंक्रोनस बेल्ट्स के पीछे रबर का चिपचिपा या नरम होना
A38
उपस्थिति विशेषताएँ

[बाहरी विशेषताएँ]

  • सिंक्रोनस बेल्ट्स के पीछे नरम रबर है।
  • सिंक्रोनस बेल्ट्स रबर चिपचिपा या नरम होता है।

[संभावित कारण]

  1. 1तेल सिंक्रोनस बेल्ट्स से चिपक गया और रबर द्वारा अवशोषित कर लिया गया।
  2. ②उच्च तापमान वातावरण में उपयोग करें.
  3. 3) बाहरी आइडलर का खराब घुमाव

[प्रतिउपाय]

  1. ① तेल को सिंक्रोनस बेल्ट्स से चिपकने से रोकने के लिए वातावरण में सुधार करें या कवर स्थापित करें।

    इसे "अल्ट्रा पीएक्स बेल्ट ऑयल रेसिस्टेंट स्पेसिफिकेशन" से बदलना संभव हो सकता है, इसलिए कृपया इस पर विचार करें।

  2. 2 परिवेश का तापमान 80°C या उससे कम करें।
  3. 3) आइडलर को इस तरह समायोजित करें कि वह घूमे। उदाहरण के लिए, आइडलर का जड़त्व कम करें या बेयरिंग का आकार बढ़ाएँ।
प्रश्नों पर वापस जाएँ
Q39 सिंक्रोनस बेल्ट्स के पीछे के रबर का घिसाव
A39

[बाहरी विशेषताएँ]

  • अंतिम सतह के समानांतर पीछे की सतह पर एक गड्ढा है।
  • पीठ पर का निशान गायब हो गया है या गायब होने वाला है।

[संभावित कारण]

  1. 1) बाहरी आइडलर शाफ्ट का खराब संरेखण।
  2. ②बाहरी आइडलर रोटेशन खराब है।

[प्रतिउपाय]

  1. 1 शाफ्ट की समानांतरता गलत है, इसलिए इसे सही स्थिति में समायोजित करें।
  2. 2 आइडलर को इस तरह समायोजित करें कि वह घूमे। उदाहरण के लिए, आइडलर जड़त्व कम करें या बेयरिंग का आकार बढ़ाएँ।
प्रश्नों पर वापस जाएँ
Q40 सिंक्रोनस बेल्ट्स के पीछे रबर में दरारें
A40
उपस्थिति विशेषताएँ

[बाहरी विशेषताएँ]

  • सिंक्रोनस बेल्ट्स के पीछे दांतों के समानांतर एक दरार है।

[संभावित कारण]

  1. 1 उपयोग किए जा रहे बेल्ट स्प्रॉकेट्स या आइडलर का व्यास बहुत छोटा है।
  2. 2 परिवेश का तापमान बहुत अधिक या बहुत कम है।

[प्रतिउपाय]

  1. 1. जाँच करें कि बेल्ट स्प्रॉकेट्स और आइडलर का व्यास उचित है। अगर यह बहुत छोटा है, तो इसे उचित व्यास वाले पुली से बदल दें।

    (किलोवाट रेटिंग तालिका में बेल्ट स्प्रॉकेट्स व्यास और नीचे दी गई तालिका में आइडलर व्यास की जांच करें।)

    • आंतरिक आइडलर: बेल्ट स्प्रॉकेट्स जिसमें नीचे दी गई तालिका में दर्शाए गए न्यूनतम दांतों की संख्या होती है।
    • बाहरी आइडलर: बिना क्राउन वाली एक सपाट घिरनी, जिसका व्यास नीचे दी गई तालिका में घिरनी के पिच सर्कल व्यास का कम से कम 1.2 गुना होता है।

    ■ आइडलर का चयन करते समय पुली दांतों की न्यूनतम संख्या

    प्रकार घूर्णी गति r/min
    900 से कम 900 से अधिक
    1200 से कम
    1200 से अधिक
    1800 से कम
    1800 से अधिक
    3600 या उससे कम
    P2M 16 16 18 20
    P3M・UP3M 14 14 16 18
    P5M・UP5M 18 20 24 28
    P8M・UP8M 24 26 26 28
    P14M・UP14M 28 28 28 34

    नोट: 3600 r/min से अधिक गति के लिए, मानक ट्रांसमिशन क्षमता तालिका देखें।

    आंतरिक आइडलर

    आंतरिक आइडलर

    बाहरी आइडलर

    बाहरी आइडलर

  2. 2 परिवेश के तापमान को -15°C से 80°C तक सुधारें, जिस बिंदु पर सिंक्रोनस बेल्ट्स उपयोग किया जा सकता है।
प्रश्नों पर वापस जाएँ
Q41 बेल्ट स्प्रॉकेट्स दांतों का घिसाव
A41
उपस्थिति विशेषताएँ

[बाहरी विशेषताएँ]

  • सिंक्रोनस बेल्ट्स से जुड़ने वाला भाग घिस गया है, जिससे एक ऐसा चरण बन गया है जहां यह जुड़ता नहीं है।
  • दाँत की सतह खुरदरी होती है।

[संभावित कारण]

  1. 1) बेल्ट स्प्रॉकेट्स सामग्री अनुपयुक्त है।
  2. 2 इसका उपयोग धूल भरे वातावरण में किया गया था और सिंक्रोनस बेल्ट्स और पुली पर चिपकी हुई घर्षणकारी धूल के साथ संचालित किया गया था।
  3. 3) सिंक्रोनस बेल्ट्स स्थापना तनाव बहुत अधिक था।

[प्रतिउपाय]

  1. 1) अधिक कठोरता वाली सामग्री का प्रयोग करें, दांत की सतह को कठोर बनाएं, या घिसाव प्रतिरोध में सुधार के लिए सतह उपचार करें।
  2. ② ऑपरेटिंग वातावरण में सुधार करें या धूल को चिपकने से रोकने के लिए कवर स्थापित करें।
  3. 3) स्थापना तनाव उचित स्तर पर समायोजित करें।
प्रश्नों पर वापस जाएँ
Q42 मापनीय सीमा क्या है?
A42

BDTM101 के लिए सिंक्रोनस बेल्ट्स कंपन आवृत्ति 30 से 600 हर्ट्ज है, और BDTM201 के लिए यह 10 से 5000 हर्ट्ज है।
यदि माप अवधि बहुत छोटी या बहुत लंबी है, तो कंपन आवृत्ति मापनीय सीमा से बाहर हो सकती है और मापनीय नहीं हो सकती है।

प्रश्नों पर वापस जाएँ
Q43 मैं खरीदने से पहले इसे आज़माना चाहूँगा, लेकिन क्या आप इसे किराये पर भी दे सकते हैं?
A43

हम डेमो यूनिट लोन पर उपलब्ध करा रहे हैं। अधिक जानकारी के लिए कृपया हमारी ग्राहक सेवा से संपर्क करें।

प्रश्नों पर वापस जाएँ
Q44 क्या आप इसका प्रूफ़रीड कर सकते हैं?
A44

यह सेवा शुल्क सहित उपलब्ध है। कृपया हमारे उत्पाद बेचने वाले किसी खुदरा विक्रेता से पूछताछ करें।

प्रश्नों पर वापस जाएँ
Q45 उपयुक्त अंशांकन अवधि क्या है?
A45

कृपया अपने स्वयं के मानकों और निर्णय के अनुसार अंशांकन अंतराल निर्धारित करें।

प्रश्नों पर वापस जाएँ
Q46 यह किस सामग्री से बना है?
A46

सफेद एल्युमाइट फ़िनिश के साथ उच्च शक्ति एल्यूमीनियम.

प्रश्नों पर वापस जाएँ
Q47 क्या आप कैटलॉग में सूचीबद्ध उत्पादों के अलावा अन्य कस्टम-निर्मित उत्पाद भी बना सकते हैं?
A47

हम इस बात पर विचार करेंगे कि क्या उत्पाद का निर्माण संभव है, इसलिए कृपया अपने चित्र संलग्न करके हमारे उत्पादों को संभालने वाले डीलर से संपर्क करें।

प्रश्नों पर वापस जाएँ